91社区
91社区
91社区概况
91社区简介
现任领导
历史沿革
历任领导
形象宣传
院徽院训
机构设置
院党政办公室
院团委
院工会
院学位评定分委员会
院学术委员会
院本科教指委
系科设置
师资队伍
师资力量
双聘院士
知名专家
博士生导师
硕士生导师
兼职教授
学科建设
学科动态
学科方向
重点学科
学位点
博士后科研流动站
科学研究
科研平台
科研团队
科研项目
科研成果
学术学会
社会服务
教育教学
本科生教育
研究生教育
教学平台
专业设置
教学团队
教学工程
教学成果
党建工作
党建动态
支部设置
先锋模范
薪火强音
学生工作
学工动态
学生机构
学生社团
招生就业
招生信息
就业信息
下载中心
本科生
研究生
教职工
学生工作
> 学工动态
> 学生机构
> 学生社团
当前位置:
91社区
>
学生工作
>
学工动态
>
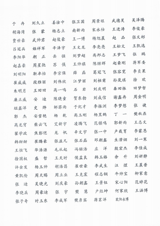
91社区 2021年家庭经济困难学生认定名单公示
发布时间:2021-09-10 10:40 浏览次数:
根据河南省教育厅等七部门《关于印发河南省家庭经济困难学生认定工作实施办法的通知》(豫教财[2019
]
84号)和河南省教育厅办公室《关于做好防汛期间学生资助工作的通知》(教办资助
[2021
]
202号)文件精神,学院认真开展贫困认定工作,结合各学生班推荐报备情况,经学院学生工作领导小组和资助工作领导小组研究生审核,最终确定2021-2022学年家庭经济困难学生认定名单,现公示如下:
快速链接
91社区
河南省农业工程学会
国家级农业工程训练中心
实验室安全考试系统
河南农业工程虚拟仿真中心