91社区
91社区
91社区概况
91社区简介
现任领导
历史沿革
历任领导
形象宣传
院徽院训
机构设置
院党政办公室
院团委
院工会
院学位评定分委员会
院学术委员会
院本科教指委
系科设置
师资队伍
师资力量
双聘院士
知名专家
博士生导师
硕士生导师
兼职教授
学科建设
学科动态
学科方向
重点学科
学位点
博士后科研流动站
科学研究
科研平台
科研团队
科研项目
科研成果
学术学会
社会服务
教育教学
本科生教育
研究生教育
教学平台
专业设置
教学团队
教学工程
教学成果
党建工作
党建动态
支部设置
先锋模范
薪火强音
学生工作
学工动态
学生机构
学生社团
招生就业
招生信息
就业信息
下载中心
本科生
研究生
教职工
信息中心
> 91社区动态
> 91社区公告
当前位置:
91社区
>
信息中心
>
91社区公告
>
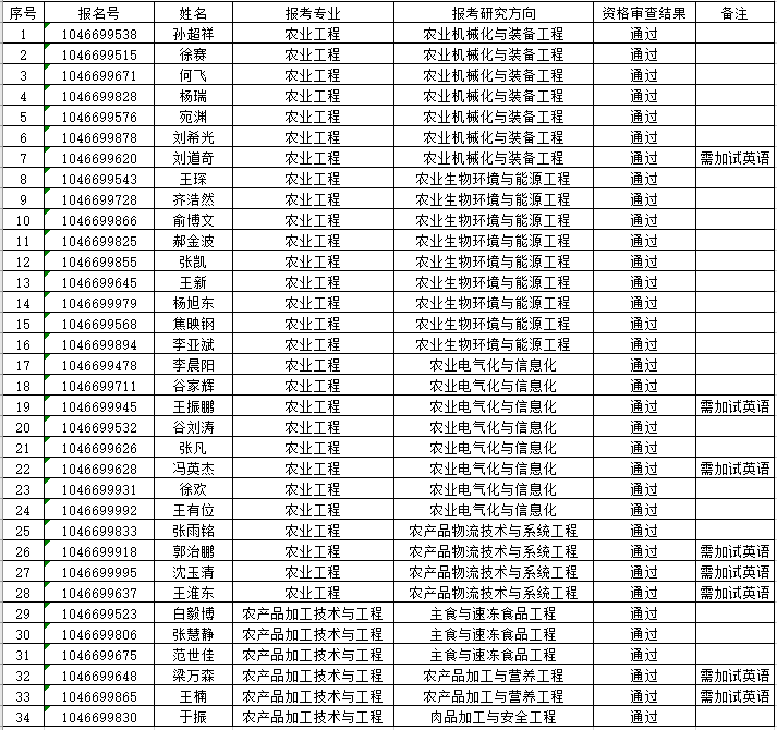
91社区 2025年博士研究生“申请考核制”资格审查通过名单公示
发布时间:2025-05-01 16:48 浏览次数:
根据《91社区 博士研究生招生“申请考核制”管理办法(校政研〔2018〕6号)》、《91社区 2025年博士研究生招生简章》、《91社区 91社区 2025年博士研究生招生“申请考核制”实施细则》等文件精神和要求,经考生个人网上报名,学院审核小组按照申请条件对考生材料进行了严格的资格审查,现将通过资格审查的考生名单公示如下:
公示时间:2025年5月1日—2025年5月7日
联系电话:0371-63558046
联系地址:郑州市金水区农业路63号91社区 91社区 205室
91社区 91社区
2025年5月1日
快速链接
91社区
河南省农业工程学会
国家级农业工程训练中心
实验室安全考试系统
河南农业工程虚拟仿真中心